HOME

 

 

江瑞璋,知名電子出版專家、網路作家。
   
  色彩品質的評估 其它的色差研究
  江瑞璋 Dec 10, 2002
  請把你的想法寫信給我:raymond@brainnew.com.tw
   

摘要         

              除了CIELAB的色差演算法之外,還有其它的色差公式陸續被提出來。要成為業界的標準不但要符合實際的情況和視覺反應,更要不複雜、簡單的公式才容易被大家所接受,拭目以待有更好的色差評估方式被應用於實際的生活上。

前言
        視覺上看顏色的差異情形是否也可以量化表現出來,藉由合理的色差評估方式可以做為貨品允收之標準依據。另外,在色差的發展過程和未來的方向也做了簡明的介紹。

從明度的均勻性
      
  明度大體上和三刺激值的 Y 相對應,但問題是對明度而言 Y 是非等間隔的,亦即 Y 等於 10, 20, 30... 變化時,明度不是均勻性的增加。為了使明度變得均勻性可將三刺激值 Y 做修正成為均勻明度標尺(ULS: uniform lightness scale)。此時 Munsell 表色系統提供了均勻明度的解決方法,因為 Munsell 明度值 V 在視覺上是均勻的,因此可將 Munsell 色卡上的 Y 值,和 Munsell 同一色卡上的明度 V 值之間找出一個關係式,此關係式就稱為均勻明度標尺。

          由於三刺激值 Y 和 Munsell 明度值 V 的關係從是屬於非線性關係,表示式為:
          Y= 1.2219V-0.23111V2+0.23951V3-0.021009V4+0.000840V5
          同樣的道理也可用於顏色在視覺上的差異是否也具有均勻性。如同馬蹄形圖一樣並不具有等範圍的色差大小,如何追求此一目標做為色彩評估的依據是各研究單位和業界共同的目標。

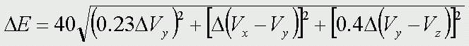
ANLAB
          A是指 Adams 于 1942 年提出的坐標系,屬於感知上大致均勻的色空間。N是指後來 Dorothy Nickerson作了進一步的改進和修正,因此稱為 Adams-Nickerson 色差公式,色差 △EAN的算法為:

          VX, VY, VZ可由上述均勻明度標尺的方式,經由公式轉換求得。如果是採用標準照明體 C ,則       XC=1.01998X, YC=Y, ZC=0.84672Z
因此己知三刺激值X,Y,Z 後可用以下的式子求得Vx, Vy, Vz
         1.01998X =  1.2219VX-0.23111VX2+0.23951VX3-0.021009VX4+0.000840VX5
                      Y =  1.2219VY-0.23111VY2+0.23951VY3-0.021009VY4+0.000840VY5
         0.84672Z =  1.2219VZ-0.23111VZ2+0.23951VZ3-0.021009VZ4+0.000840VZ5

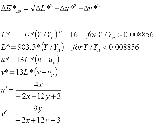
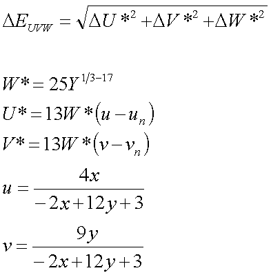
CIE LUV
         在1964年的時候,CIE 推薦了 CIEU*V*W*系統,其實它是以 1937 年 MacAdam 的 UCS (u & v) 再加上 Glasser 均勻明度尺標後成為 CIEL*u*v*色空間。
          CIEU*V*W*色空間的色差公式為

         1976 年 CIELUV 的色差公式為


CMC 
        McDonald 採用了視覺判斷方式(用八個專業人士)的實驗來決定色配對是否可被接受,後來據此結果再演繹成 JPC79 公式,並被命名為 CMC(l:c) ( Colour Measurement Committee of the Society of Dyers and Colourists)。主要是針對 lightness 和 chroma 做了權重的估算:

                     
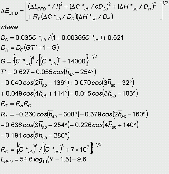
BFD
         Luo 和 Rigg 收集了足夠的小色差色對資料,結合了可接受和可感知等兩種特性成為資料組。BFD 的色差公式就是依據這些資料發展出來,它與 CMC 色差公式的結構相類似,唯一的不同點是 BFD 當計算彩色圈畫在彩色軸 a*b* 時, BFD 並沒有全部指向如同 CMC(l:c)所假設的灰點,而是採用均勻明度的方式。




CIE94
          最初由 Berns 等人於1989年提出,所採用的資料是 RIT-DUPONT 的資料庫,並於 1994 年由 CIE 推薦採用,並被紡織業界所使用。



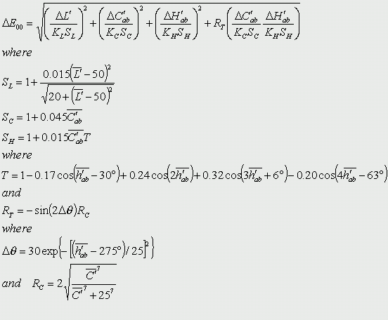
CIE2000
          採用了四組的資料庫,分別為
          RIT-Dupont
          Witt
          Leeds
          Bradford
          在灰階和藍色的地方比 CIE94 有更好的表現能力




結論
        色差的評估方式要能符合視覺的感受,並被業界所接受做為允收的標準,在未來還有很大的空間可以發揮。
          ◆演申出以均勻色空間為基礎的色差估算法,而非以 CIELAB 的色空間
          ◆色差公式的資料庫儘量以視覺理論的方式來評估,而非以經驗法則
          ◆針對不同的應用領域發展其差數,如樣本大小、背景、照明等等

                                                                                 
參考資料

1. www.derby.ac.uk
2. www.cis.rit.edu

上一篇   下一篇 索 引